ד"ר רוסטוביץ, פייביש - חברת עורכי דין אודות ARNONA   אודות העורך ד"ר הנריק רוסטוביץ
 

ארכיון מגזין ארנונה 1999 - 2003
חיפוש
 
    אנציקלופדיה ארנונה   הפחתת חיובי ארנונה והיטלי פיתוח
    פקודת המסים (גביה)   הרצאות בארנונה   ספרים ומאמרים
    0 תגובות לכתבות מאז : 31/12/2025
גרסת הדפסה

ברוטו או נטו - כיצד מודדים שטח דירה לצורך ארנונה

לכאורה, לשני נכסים זהים אמור להיות אותו שטח בדיוק במטולה, בנצרת, בירושלים, בתל אביב, בכפר שמריהו, בקיבוץ גבים ובאילת, אבל האמת היא שונה בתכלית

מאת: ד"ר הנריק  רוסטוביץ, עו"ד   ערן  פייביש, עו"ד  

12/11/2016

סכום הארנונה השנתי הוא מכפלה של שטח הנכס בתעריף הארנונה. בישראל יש 250 רשויות מקומיות ולכל אחת תעריפי ארנונה משלה. לכל סוג של שימוש בנכס יש תעריף ארנונה שונה, כגון דירה, מסחר, משרד, תעשייה, מלון, בנק וכיוצא באלה.

לעתים קרובות, יש באותה רשות מקומית יותר מתעריף ארנונה אחד לאותו סוג של שימוש. כך למשל, הרשות המקומית יכולה לקבוע תעריפי ארנונה שונים לפי האזור שבו מצוי הנכס, לפי שנת הבנייה של הנכס, לפי סוג הבניין וכך הלאה.

בחיבור זה, לא נעסוק באלפי תעריפי הארנונה השונים שיש בישראל, ונתמקד בשיטת המדידה של הנכס. לכאורה, לשני נכסים זהים אמור להיות אותו שטח בדיוק במטולה, בנצרת, בירושלים, בתל אביב, בכפר שמריהו, בקיבוץ גבים ובאילת, אבל האמת היא שונה בתכלית.

לכל רשות מקומית יש לא רק תעריפי ארנונה שונים, אלא גם שיטה שונה למדידת שטח הנכס. השיטה הנפוצה היא שיטת "ברוטו-ברוטו", שבה מודדים את שטח הנכס, קירות פנים, קירות חוץ והשטחים המשותפים. בשיטת ה"ברוטו" משמיטים את השטחים המשותפים, בשיטת ה"נטו" מודדים רק קירות פנים, ובשיטת ה"נטו-נטו" מודדים רק את שטח הרצפה ללא קירות בכלל. הפער בין שתי השיטות הקיצוניות נע בממוצע בין 25% ל- 40%.

אבל בזה לא די. יש רשויות מקומיות שמודדות גם את שטח המרפסות הלא-מקורות, את שטח הגג המרוצף, את שטח חלל גג הרעפים גם כאשר המרחק ביו הרצפה לגג הוא סנטימטר אחד, את השטח שמתחת לבליטות ארכיטקטוניות שהן מעין "גג", גלריות שגובהן נמוך מגובה של אדם, שטחים טכניים המכילים צנרת וקווי תשתית, שטח של מתקני מיזוג על הגג, מקלטים, ועוד כידו הטובה של הדמיון הפורה. מדידת כל אלה עלולה להגדיל את הפער בין שיטות המדידה ל- 60% בין רשות לרשות.

לעתים, תעריף ארנונה "יקר" ברשות מקומית אחת מביא לסכום נמוך יותר מאשר תעריף ארנונה "זול" יחסית ברשות מקומית אחרת לנוכח השוני בשיטות המדידה היצירתיות.

משרד הפנים מנסה מזה שנים רבות לאחד את שיטת המדידה בכל המדינה, אולם ניסיונות אלה הם זריית חול בעיניים. נניח לרגע, כי בשנת 2017 יחוקקו שיטת מדידה אחידה של הכללת קירות פנים וקירות חוץ וללא שטחים משותפים, גובה מזערי של 2 מטר, ועוד כהנה וכהנה הגדרות נוספות שמטרתן לקבוע כללים אחידים למדידה.

250 הרשויות המקומיות יתחלקו לשתי קבוצות: אלו שמרוויחות מהשיטה החדשה ואלו שמפסידות. על מנת לא לפגוע בקופה של הרשויות "המפסידות", יהיה צורך לאשר להן תוספת לתעריפי הארנונה לפי תחשיב כלכלי ממוצע, ועל מנת לא לפגוע בתושבים של הרשויות "המרוויחות", יהיה צורך לחייב אותן בהפחתת תעריפי הארנונה לפי תחשיב כלכלי ממוצע.

בפרק הזמן שיינתן להיערכות המחודשת ולהגשת התחשיבים הכלכליים הממוצעים, יהיה צורך למדוד מחדש את כל הנכסים במדינה ולספק פרנסה טובה למודדים המוסמכים, ולהכין 250 תחשיבים כלכליים ממוצעים ולספק פרנסה טובה לכלכלנים. בשלב השני, כאשר יוצאו שומות הארנונה לפי השיטה החדשה "האחידה", הדבר יספק פרנסה טובה למאות פרקליטים שיגישו השגות, עררים ועתירות מנהליות, דבר שיספק גם תעסוקה מצוינת לבתי המשפט ולחברות הגבייה. האבטלה בישראל תקטן, הכלכלה תצמח, ומיליארדי שקלים שיוקדשו ל"שיטת המדידה החדשה" יצמיחו 0 תוצר לאומי.

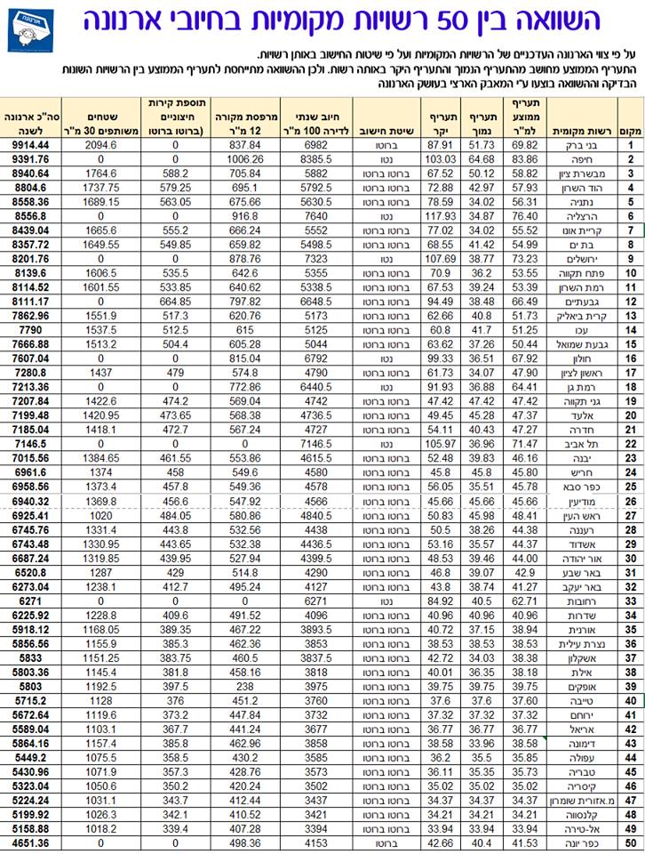
לסיום, אנו מצרפים טבלה של סכומי הארנונה המוטלים על דירה של 100 מ"ר בכל הרשויות המקומיות בישראל, ומתברר, שבעזרת השם יתברך, העיר בני-ברק זוכה במקום הראשון.

טבלת השוואה של הארנונה בחמישים רשויות מקומית


תודה למי שיקליק על האייקון של פייסבוק


    תגובות   שלח תגובה >>









זכויות יוצרים   ד"ר רוסטוביץ, פייביש ושות' חברת עורכי דין   פורטל משפט מיסוי ונדל"ן